Question
A circuit consists of three resistors, R1, R2 and R3, and two switches A and B, as shown in the figure.
The resistances between terminals X and Y is measured for different settings of the switches A and B. The results are shown in the table.
a) Determine the resistance of resistors R1, R2 and R3.
b) Switch A is now closed and switch B is open. Calculate the resistance between terminals X and Z.
Answer
a) From the first row in the table, when switches A and B are both open, the total resistance is 12Ω.
Assuming that X is positive and Y is negative, current will flow through the circuit as shown.
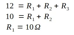
Hence, we see that:
From the second row in the table, when switch A is open and B is closed, the total resistance is 10Ω.
Assuming that X is positive and Y is negative, current will flow through the circuit as shown.
Hence, we see that:
From the third row in the table, when switch A is closed and B is open, the total resistance is 6Ω.
Assuming that X is positive and Y is negative, current will flow through the circuit as shown.
Hence, we see that:
Solving the equations:
we obtain
R2 = 4 Ω
R3 = 2 Ω
b) When switch A is closed and B is open, we need to find the total resistance between X and Z.
Assuming that X is positive and Z is negative, current will flow through the circuit as shown.
